在线客服
服务支持

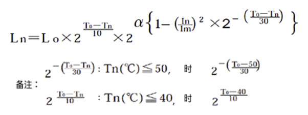
导电性高分子混合铝电解电容器的寿命计算

寿命计算是基于高温环境下寿命试验结果的试验公式,计算值仅作参考。

电容器_超级/车规/混合型超级电容(锂离子电容)_铝电解电容器厂家_Ymin永铭
系列
尺寸
电压
寿命时间 Lr H
电容器的使用上限温度 To
电容器的周围温度 Tx
实际纹波电流 Ix mA
额定最大纹波电流 I mA
*请将In与Im设为同一频率。详见备注3
频率补偿系数
Ff mArms
寿命时间 Lx 时间
电容器的使用上限温度 To

备注

1.寿命计算仅限产品目录商品。定制设计品请向永铭营业窗口垂询。

2.寿命计算的范围为40℃至分类上限温度。

3.印加纹波电流In与额定纹波电流Im的频率必须相同。 频率不同时,请利用以下各系列记载的"纹波频率校准系数",将In数值变换为与Im同一频率的数值。 此外,输入的In请不要超过Im。 若在In中输入超过容许的数值,会显示"In输入值超过了印加可能的纹波电流值"的错误警告。

4.计算寿命上限为15年。

5.无计算公式的系列,请向永铭营业窗口垂询